Conceptos de Sistema de Gestión de Mediciones (SGM)
Un Sistema de Gestión de Mediciones (SGM) es el conjunto de actividades, recursos, procedimientos y políticas destinados a garantizar la validez, confiabilidad y trazabilidad de los resultados de medición en una organización.
Componentes principales:
- Equipos de medición adecuados.
- Calibración y mantenimiento regular.
- Capacitación del personal.
- Registros de resultados y trazabilidad.
- Revisión y mejora continua.
Ejemplo:
Una empresa que fabrica tornillos utiliza un SGM para asegurar que los calibradores que miden el diámetro están calibrados correctamente. Esto garantiza que los tornillos cumplan con los requisitos del cliente y normas internacionales.
Tipos de errores de instrumentos y mediciones
Los errores afectan la precisión y exactitud de las mediciones, estos se clasifican en:
- Errores sistemáticos: Repetitivos y previsibles. Pueden corregirse.
- Errores aleatorios: Inesperados, varían con cada medición.
- Errores humanos: Provocados por el operador.
Ejemplos:
- Error sistemático: Un termómetro mal calibrado que siempre marca 2 °C más.
- Error aleatorio: Variaciones pequeñas entre mediciones debido a vibraciones.
- Error humano: Leer mal una escala analógica por paralaje.
Verificación de instrumentos de medición
La verificación consiste en comprobar si un instrumento funciona correctamente dentro de sus especificaciones, sin necesidad de calibrarlo ni ajustarlo.
Ejemplo:
Antes de usar un calibre, se verifica que marque “0.00 mm” cuando está completamente cerrado. Si no lo hace, se detecta un posible problema.
Ajuste de instrumentos de medición
El ajuste es la intervención técnica para modificar un instrumento y hacer que sus mediciones sean correctas o estén dentro de tolerancia.
Ejemplo:
Una balanza electrónica marca 10.5 g cuando se le coloca un patrón de 10 g. Se realiza un ajuste electrónico para corregir este desvío.
Calibración de instrumentos de medición
La calibración es el proceso de comparar un instrumento con un patrón trazable, sin modificarlo, para determinar el error de medición.
Características:
- No implica ajuste.
- Proporciona evidencia del error y la incertidumbre.
- Requiere trazabilidad a un estándar nacional/internacional.
Ejemplo:
Un micrómetro se calibra comparándolo con bloques patrón de longitudes conocidas (por ejemplo, 25.00 mm). Si el micrómetro mide 25.03 mm, el error es de +0.03 mm
Lectura de certificados de calibración de instrumentos
Un certificado de calibración documenta los resultados de una calibración.
Incluye:
- Datos del instrumento.
- Resultados de medición.
- Error encontrado.
- Incertidumbre asociada.
- Fecha de calibración y vencimiento.
- Firma del técnico o laboratorio.
Ejemplo:
Un certificado muestra:
- Valor patrón: 50.00 mm
- Valor medido: 50.02 mm
- Error: +0.02 mm
- Incertidumbre (k=2): ±0.01 mm
Esto indica que el instrumento sobreestima la medida y su error está dentro del límite aceptable.
Conceptos básicos y definición de incertidumbre
La incertidumbre es una estimación del rango dentro del cual se espera que se encuentre el valor real de una medición, con un cierto nivel de confianza.
Tipos:
- Incertidumbre tipo A: Estimación estadística basada en datos.
- Incertidumbre tipo B: Basada en otras fuentes (manuales, especificaciones).
Ejemplo:
Una medición de 100.00 mm con una incertidumbre de ±0.05 mm indica que el valor real está entre 99.95 y 100.05 mm, con un 95% de confianza.
Fuentes de incertidumbre en los procesos de medición dimensional
En la metrología dimensional, hay muchas fuentes de incertidumbre:
- Instrumento (resolución, calibración).
- Ambiente (temperatura, humedad).
- Operador (experiencia, técnica).
- Método de medición (cómo se toma la medida).
- Objeto medido (forma, rugosidad, material).
Ejemplo:
Medir una pieza de aluminio sin esperar que se enfríe puede aumentar su longitud aparente por expansión térmica.
Tipos de distribuciones de probabilidad
Son valores que representan el centro o comportamiento típico de un conjunto de datos:
- Media: Promedio de todos los valores.
- Mediana: Valor central de los datos ordenados.
- Moda: Valor que más se repite.
Ejemplo:
Mediciones: [9.8, 10.0, 10.2]
- Media = (9.8+10.0+10.2)/3 = 10.0
- Mediana = 10.0
- Moda = No hay (todos diferentes)
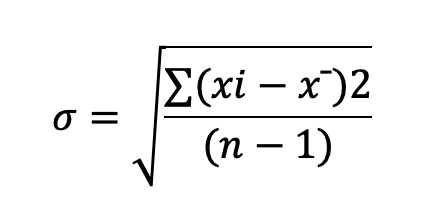
Desviación estándar
La desviación estándar mide cuánto se alejan los valores individuales del promedio. Una desviación pequeña indica alta precisión.
Fórmula (simplificada para datos individuales):
Ejemplo:

Mediciones: [10.0, 10.1, 10.0, 9.9]
Media = 10.0 → Desviación estándar ≈ 0.08
Significa que los valores varían poco respecto a la media.
Reporte y presentación de datos de medición e incertidumbre
Un reporte de medición debe incluir:
- Valor promedio.
- Rango de datos.
- Desviación estándar.
- Incertidumbre expandida.
- Método y condiciones de medición.
- Representación gráfica (si aplica).
- Ejemplo de reporte:
- Resultado de medición: 50.02 mm
- Desviación estándar: 0.01 mm
- Incertidumbre (k=2): ±0.02 mm
- Distribución: Normal
- Condiciones: 20 °C, 50% HR
Este informe asegura trazabilidad y permite tomar decisiones técnicas o de calidad.
